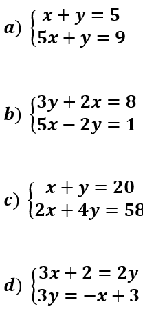
Resolva cada sistema de equações do 1º grau (2 incógnitas) utilizando o método da adição.

Veja a correção, passo a passo, de cada sistema de equações com o uso do método da adição.
4 Mil Exercícios de Matemática Com Gabarito + Videoaula – Clique Aqui
Questões de Matemática para Concurso Público, Reforço Escolar, ENEM, ENCCEJA, Vestibular, Vestibulinho…
Lista de Exercícios de Matemática GRATUITA!
Pegue Agora a Sua – Clique Aqui
Professor Silvio

Deixe um comentário